14 февраля 2024 в 11:44

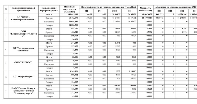
Компания АО «ЭнергосбыТ Плюс» опубликовала информацию об объеме фактического полезного отпуска электроэнергии

Фото: АО «ЭнергосбыТ Плюс»
Сведения даны в разрезе сетевых компаний по уровням напряжения за январь 2024 года.
Автор:
^
Нашли опечатку в тексте? Выделите её и нажмите Ctrl + Enter.
вчера в 12:57 Александр Авдеев побеседовал с бойцами СВО в филиале фонда «Защитники Отечества»
Накануне Дня защитника во владимирском филиале фонда «Защитники Отечества» губернатор Александр Авдеев провел доверительный и обстоятельный разговор с группой участников СВО. Откровенный диалог за чашкой чая охватил прак…
вчера в 10:08 Один человек пострадал при пожаре в доме на улице Собинской во Владимире
Ночью в воскресенье во Владимире произошел пожар в двухквартирном деревянном доме. Сообщение о возгорании по адресу: улица Собинская, дом 31/19, поступило в Центр управления в кризисных ситуациях (ЦУКС) Главного управлен…

Для улучшения работы сайта и его взаимодействия с пользователями мы используем файлы cookie и сервис Яндекс.Метрика. Продолжая работу с сайтом, Вы даете разрешение на использование cookie-файлов и согласие на обработку данных сервисом Яндекс.Метрика. Вы всегда можете отключить файлы cookie в настройках Вашего браузера.