13 декабря 2024 в 10:53

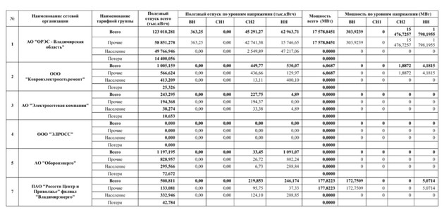
Компания АО «ЭнергосбыТ Плюс» опубликовала информацию об объеме фактического полезного отпуска электроэнергии

Сведения даны в разрезе сетевых компаний по уровням напряжения за ноябрь 2024 года.

 

^
Нашли опечатку в тексте? Выделите её и нажмите Ctrl + Enter.
сегодня в 10:08 Один человек пострадал при пожаре в доме на улице Собинской во Владимире
Ночью в воскресенье во Владимире произошел пожар в двухквартирном деревянном доме. Сообщение о возгорании по адресу: улица Собинская, дом 31/19, поступило в Центр управления в кризисных ситуациях (ЦУКС) Главного управлен…
вчера в 17:31 Регион подвел итоги работы системы предупреждения и ликвидации ЧС за 2025 год
20 февраля в Доме правительства области состоялось подведение итогов деятельности территориальной подсистемы Единой государственной системы предупреждения и ликвидации чрезвычайных ситуаций за 2025 год. В нем участвовали…

Для улучшения работы сайта и его взаимодействия с пользователями мы используем файлы cookie и сервис Яндекс.Метрика. Продолжая работу с сайтом, Вы даете разрешение на использование cookie-файлов и согласие на обработку данных сервисом Яндекс.Метрика. Вы всегда можете отключить файлы cookie в настройках Вашего браузера.