14 июня 2022 в 14:51

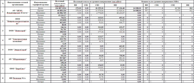
Компания АО «Владимирские коммунальные системы» опубликовала информацию об объеме фактического полезного отпуска электроэнергии

Фото: Владимир Чучадеев
Сведения даны в разрезе сетевых компаний по уровням напряжения за май 2022 года.

Примечание:

Полезный отпуск электрической энергии из электрических сетей сетевых организаций указан суммарно по точкам поставки, соответствующим зоне деятельности АО «Владимирские коммунальные системы» как гарантирующего поставщика и как независимой энергосбытовой организации.

Информация доступна на сайте компании.

Автор:
^
Нашли опечатку в тексте? Выделите её и нажмите Ctrl + Enter.
сегодня в 16:14 Ольга Хохлова поделилась впечатлениями от пресс-конференции Президента
Председатель Законодательного Собрания Владимирской области Ольга Хохлова считает, что озвученные в ходе прямой линии и пресс-конференции инициативы Владимира Путина должны максимально оперативно трансформироваться в кон…
сегодня в 14:19 Вязниковские зубры привели к кормушкам в заповеднике целый «детский сад»
Обычно в это время года тропа к зубрам уже укутана белым покрывалом, а сейчас вместо пушистых сугробов – серая сырость. Но тем не менее жизнь в зубрином стаде идет своим чередом, рассказывают сотрудники Дирекции особо ох…

Для улучшения работы сайта и его взаимодействия с пользователями мы используем файлы cookie и сервис Яндекс.Метрика. Продолжая работу с сайтом, Вы даете разрешение на использование cookie-файлов и согласие на обработку данных сервисом Яндекс.Метрика. Вы всегда можете отключить файлы cookie в настройках Вашего браузера.