12 июля 2022 в 13:50

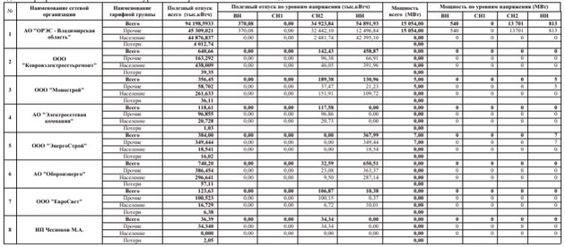
Компания АО «Владимирские коммунальные системы» опубликовала информацию об объёме фактического полезного отпуска электроэнергии

реклама.  Фото: Наталья Ларина
Сведения даны в разрезе сетевых компаний по уровням напряжения за июнь 2022 года.

Примечание: Полезный отпуск электрической энергии из электрических сетей сетевых организаций указан суммарно по точкам поставки, соответствующим зоне деятельности АО «Владимирские коммунальные системы» как гарантирующего поставщика и как независимой энергосбытовой организации.

^
Нашли опечатку в тексте? Выделите её и нажмите Ctrl + Enter.
час назад Власти работают над устранением последствий обрушения крыш в Коврове и Вязниках
В двух городах Владимирской области — Коврове и Вязниках — после обильных снегопадов произошли частичные обрушения кровель. Местные и областные надзорные органы оперативно вмешались, чтобы взять ситуацию под контроль и о…
сегодня в 14:29 Между фронтом и тылом: жизнь ветерана СВО после контракта
Год назад владимирец Александр с позывным Бах ушел на службу в зону специальной военной операции в качестве добровольца. Начав с должности рядового разведчика, он прошел путь до командира разведки. За этим решением стоит…

Для улучшения работы сайта и его взаимодействия с пользователями мы используем файлы cookie и сервис Яндекс.Метрика. Продолжая работу с сайтом, Вы даете разрешение на использование cookie-файлов и согласие на обработку данных сервисом Яндекс.Метрика. Вы всегда можете отключить файлы cookie в настройках Вашего браузера.