11 июля 2023 в 09:54

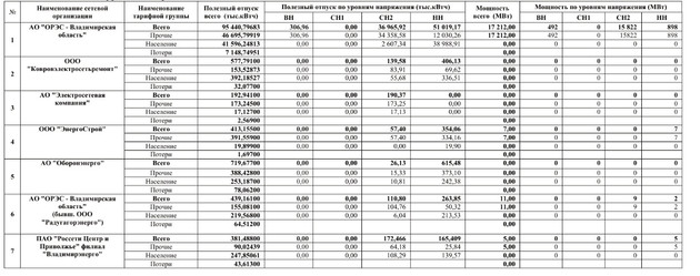
Компания АО «ЭнергосбыТ Плюс» опубликовала информацию об объеме фактического полезного отпуска электроэнергии

Фото: предоставлено АО "ЭнергосбыТ Плюс"
Сведения даны в разрезе сетевых компаний по уровням напряжения за июнь 2023 года.

Компания АО «ЭнергосбыТ Плюс» опубликовала информацию об объеме фактического полезного отпуска электроэнергии. Сведения даны в разрезе сетевых компаний по уровням напряжения за июнь 2023 года.

Документ в высоком качестве изображения доступен по ссылке.
Автор:
^
Нашли опечатку в тексте? Выделите её и нажмите Ctrl + Enter.
сегодня в 18:45 Владимирский Роспотребнадзор требует отремонтировать школу и пять детских садов
Специалисты управления Роспотребнадзора по Владимирской области продолжают работу по контролю обеспечения прав детей на благоприятные условия обучения. В Коврове, Ковровском и Камешковском районах, в округе Муром и Муром…
сегодня в 18:20 Уволенные ковровчане получили выплаты только после обращения в прокуратуру
Работники предприятия. специализирующееся на изготовлении изделий из пластмассы, обратились к надзорникам с коллективной жалобой после того, как не дождались окончательный расчет. Прокуратура Владимирской области сообщае…

Для улучшения работы сайта и его взаимодействия с пользователями мы используем файлы cookie и сервис Яндекс.Метрика. Продолжая работу с сайтом, Вы даете разрешение на использование cookie-файлов и согласие на обработку данных сервисом Яндекс.Метрика. Вы всегда можете отключить файлы cookie в настройках Вашего браузера.